ANÁLISE DE INSTALAÇÕES ELÉTRICAS EM AMBIENTES INDUSTRIAIS AGRESSIVOS
ANALYSIS OF ELECTRICAL INSTALLATIONS IN AGGRESSIVE INDUSTRIAL ENVIRONMENTS
LOPES, Douglas Goulart1; MENDONÇA, Marcus Vinicius2; CALHAU, David Jorge3
1Mestrando do Programa de Mestrado em Inovação Tecnológica da Universidade Federal do Triângulo Mineiro, 2 Professor Doutor do Curso de Engenharia Elétrica da Universidade Federal do Triângulo Mineiro; 3 Professor Doutor do Curso de Engenharia Elétrica da Universidade Federal do Triângulo Mineiro.
douglas_glopes@hotmail.com
RESUMO. O objetivo do presente estudo foi analisar a oxidação da malha de aterramento devido à reação com substâncias químicas em ambientes industriais. Para isso foram utilizados o terrômetro e o alicate terrômetro para elucidar a oxidação da malha de aterramento ao longo das medições. A coleta de dados foi realizada em uma Indústria de Produtos Químicos. Visando verificar a resistência do aterramento, foram coletadas medições a cada 15 dias por um período de 6 meses. A partir de tais resultados, foi realizado o ensaio de quatro métodos para solucionar a oxidação acelerada da malha de aterramento. Foi possível verificar que na indústria de produtos químicos que houve um pequeno aumento da resistência de aterramento de uma das hastes que estava localizada próximo ao local de fabricação dos ácidos, sendo possível verificar que o contato com as substâncias químicas aceleravam a oxidação da malha de aterramento. Dentre os quatro métodos propostos, o método de isolar a cabeça da haste e a tampa da caixa de inspeção, assim como o método de substituir a haste do cobre por haste de ferros inoxidável, mostraram-se propostas eficazes para corrigir à oxidação.
Palavras-chave: Descarga elétrica; aterramento; resistividade.
ABSTRACT. The objective of the present study was to analyze the oxidation of the grounding mesh due to the reaction with chemical substances in industrial environments. For this purpose, the thermometer and thermometer pliers were used to elucidate the oxidation of the grounding mesh throughout the measurements. Data collection was carried out in a Chemical Industry. In order to verify the grounding resistance, measurements were collected every 15 days for a period of 6 months. Based on these results, four methods were tested to solve the accelerated oxidation of the grounding grid. It was possible to verify that in the chemical products industry there was a small increase in the grounding resistance of one of the rods that was located close to the acid manufacturing site, making it possible to verify that contact with the chemical substances accelerated the oxidation of the grounding mesh. . Among the four proposed methods, the method of isolating the rod head and the inspection box lid, as well as the method of replacing the copper rod with a stainless steel rod, proved to be effective proposals to correct oxidation.
Keywords: Electric discharge; grounding; resistivity
Instalações de transmissão e distribuição em correntes alternadas surgiram a partir do século XVIII (RANDO, 2021). Dentre os diversos itens estudados nas Instalações Elétricas o sistema de aterramento merece destaque: em algumas situações ele é constituído por um cabo de cobre nú enterrado sob o solo, que interliga todos os pontos que necessitam de aterramento, sendo que, quando existe uma malha de aterramento específica separada, é necessário que esta esteja ligada à malha de aterramento geral. Ademais, todas as estruturas metálicas e equipamentos que possuam carcaça metálica devem ser interligados a malha de aterramento, pois todos estes materiais podem possuir um potencial elétrico e, consequentemente, levar a um fluxo de corrente elétrica pelo corpo de um indivíduo (RANDO, 2021).
É possível aterrar um sistema elétrico de diversas maneiras, utilizando hastes, placas de formas e tamanhos diversos ou cabos enterrados no solo, sendo fundamental o conhecimento das características e resistividade do solo. Dessa maneira, o aterramento elétrico possui função primordial na segurança de indivíduos contra choques elétricos e de equipamentos das consequências associadas às descargas atmosféricas. Todavia, para além da imporância para segurança e proteção na Engenharia Elétrica, os sistemas de aterramento também podem contribuir para localização de falhas nas camadas da Terra, jazidas minerais, lençol d’agua, petróleo, subsídio para descobertas arqueológicas, entre outras contribuições à Geologia e Arqueologia (KINDERMANN; CAMPAGNOLO, 1995).
Em muitos casos o aterramento utiliza de hastes e cabos de cobre nú interligados de maneira a garantir a equipotencialidade, nesse sentido, o aterramento elétrico busca equipotencializar uma região para protegê-la dos danos causados pelas descargas elétricas (SANTOS ET AL., 2023). São três componentes que constituem o aterramento elétrico: eletrodos de aterramento, conexões elétricas que ligam um ponto do sistema aos eletrodos e a terra que envolve os eletrodos (VISACRO FILHO, 2002).
As cargas elétricas podem fluir pelo meio da terra. O cobre é um bom condutor elétrico, que tem sua resistividade em torno de 1,67 x 10-8W.m, dessa forma, comparado ao solo, o cobre é um bilhão de vezes melhor condutor de cargas elétricas. Nesse contexto, faz-se importante citar que os metais são bons condutores de cargas elétricas devido aos elétrons livres (RANDO, 2021). O solo permite que o fluxo de cargas elétricas flua através dele, difundindo-se em função da sua resistividade. Para que isso ocorra à necessidade de um elemento que realize essa função, denominado sistema de aterramento, que deve obedecer a capacidade adequada de conduzir corrente elétrica de falta e manter um baixo valor de resistência de aterramento mesmo diante das variações climáticas (RANDO, 2021, p. 33).
Dessa forma, é imprescindível a manutenção e inspeção contínua de sistemas de aterramento, garantindo a confiabilidade destes. Todavia, um aterramento eficiente e bem executado não significa que o local estará isento de surtos, mas que estará protegido de acordo com a Associação Brasileira de Normas Técnicas (ABNT), a qual postula que a resistência máxima da malha deve ser de 10 W, contudo quanto mais próximo de zero estiver a resistência da malha, mais eficiente será o sistema (SILVA ET AL, n.d.).
Nesse contexto, visando garantir a segurança, as normas NBR 14039 e a NR 10 (2004) exigem que toda instalação elétrica tenha um aterramento. Em construções em que há o uso de substância químicas, os sistemas de aterramento merecem um cuidado especial. Empresas de químicos e produtos inflamáveis devem realizar anualmente a medição da malha de aterramento, sendo necessário que um Engenheiro Eletricista assine tal medição. Caso o valor da medição não esteja dentro do valor permitido pela norma NBR 5419, é necessário realizar modificações visando que o sistema atenda as normas.
As instalações elétricas em indústrias químicas, que contam com a possibilidade de misturas explosivas, necessitam de maior cuidado e atenção devido ao risco que oferecem. Essas áreas são definidas com o código BE3, na norma ABNT NBR 5410 (ABNT, 2004). O aterramento elétrico nestes ambientes tem a função de eliminar o nível de tensão para evitar a energia de ativação necessária para ocorrer uma explosão ou iniciar um incêndio (RANDO, 2021).
É imprescindível que todos os projetos de aterramento sigam as normas especificas para cada caso – aterramento residencial, as linhas de alta tensão ou subestações, aterramento de telecomunicações – que asseguram a boa qualidade da instalação, visando sua segurança. Apesar das normas diferenciarem-se em cada país, sendo importante que os projetos respeitem as normas locais em que serão realizadas as instalações, a maioria dos países utilizam as normas internacionais para o desenvolvimento dos projetos e instalações, devido ao seu reconhecimento (GENNARI, 2017).
Os eletrodos que compõe a malha de aterramento são constituídos de um corpo metálico enterrado no solo, sendo o cobre um material utilizado para constituição da malha. Contudo, o cobre, quando em contato com o oxigênio ou com a água, sofre processo de oxidação, sendo, ainda, que o contato com outras substâncias químicas pode acelerar tal processo de oxidação, o que pode comprometer a eficácia e segurança da malha de aterramento. Diante disso, peças galvanizadas ou pintadas devem garantir que o valor da resistência de aterramento não seja alterado, permitindo uma continuidade elétrica em toda a instalação ao potencial da terra (RANDO, 2021).
Neste contexto, o presente estudo é fruto de um projeto de pesquisa que foi desenvolvido com o objetivo de analisar a oxidação da malha de aterramento devido à reação com substâncias químicas em ambientes industriais.
O presente estudo trata-se de uma pesquisa qualitativa e experimental.
Para realização deste estudo foram utilizados dois instrumentos de medição ôhmica: o terrômetro e o alicate terrômetro. Para medir a resistência do solo e calcular o número de hastes é possível utilizar o instrumento chamado terrômetro. Tal instrumento “injeta” pela terra uma corrente elétrica que irá medir a resistência do solo, medindo, assim, a eficiência do aterramento. “O terrômetro digital dispõe de uma fonte de corrente interna além de um software que realiza internamente os cálculos necessários para obtenção do valor da resistividade do solo” (DIAS, 2011, p. 40), sendo capaz de armazenar e apresentar as medições realizadas.
Já o alicate terrômetro permite realizar a medição da resistência de terra de uma haste de aterramento sem ser necessário o uso de hastes auxiliares. Ademais, tal instrumento também permite, em sistemas com várias hastes, a leitura da resistência de aterramento, sem desconectar o aterramento em teste (MINIPA, n. d.).
Dessa forma, a utilização dos dois instrumentos permitiu compreender o valor da resistência de aterramento, podendo, assim, realizar, as medições de maneira constante. Ademais, também foram utilizados registros fotográficos para elucidar a oxidação da malha de aterramento ao longo das medições. A partir de tais registros foi possível realizar uma comparação do estado do cobre ao longo do tempo, podendo acompanhar visualmente sua oxidação, visto a mudança de cor que ocorre quando o cobre entra em contato com substâncias químicas que aceleram a oxidação.
Procedimentos
Coleta de Dados
A coleta de dados foi realizada em uma Indústria de Produtos Químicos em uma cidade do interior do estado de São Paulo. A partir de visitas realizadas anualmente à indústria de produtos químicos, e de observações visuais, verificou-se uma oxidação acelerada da malha de aterramento na área localizada próxima aos tanques de produtos químicos e a necessidade de modificações constantes de tal malha. Dessa forma, vislumbrou-se a necessidade de realizar este estudo em busca de uma solução para tal problema da empresa.
A indústria de produtos químicos foi contatada sobre a realização do estudo e a partir do seu interesse em participar voluntariamente, foram sanadas dúvidas, e então foi assinado o Termo de Consentimento Livre e Esclarecido (Apêndice I). Posteriormente foram realizadas visitas periódicas à empresa para medição da malha de aterramento em áreas distintas que foram registradas em um gráfico, visando ilustrar, assim, a variação da resistência de aterramento em função do tempo. Objetivando comparar os níveis de oxidação entre as hastes em contato com produtos químicos e as hastes que não possuem contato com tais componentes, também foram registradas medições da malha de aterramento da empresa de produtos químicos em áreas distantes dos tanques.
A planta da indústria (Figura 1) demonstra que os tanques A, B, C e D possuem paredes de isolamento para conter vazamentos de substâncias químicas; cada um desses tanques possui quatro caixas de inspeção. Na área do escritório há doze caixas de inspeção.

Figura 1. Planta da Indústria de Produtos Químicas
Dessa forma, foi medida cada uma das hastes de aterramento que tinham caixa de inspeção na empresa. Pretendendo verificar a resistência de aterramento, foram coletadas medições a cada 15 dias por um período de 6 meses. Tais valores foram expostos em um gráfico de ohms por tempo, tencionando obter uma comparação entre as duas diferentes áreas da empresa, podendo, assim, visualizar as hastes mais oxidadas. A partir de tal resultado, será realizado o ensaio de quatro métodos para solucionar a oxidação acelerada da malha de aterramento:
1. Isolar a cabeça da haste e a tampa da caixa de inspeção com massa de vedação, de maneira que nenhum líquido entre em contato com a haste naquela região, visto que há concreto no entorno da caixa de inspeção;
2. Utilizar o ferro como metal de sacrifício. Dessa forma, dentro da mesma caixa de inspeção, iremos introduzir uma barra de ferro 3/8” ao lado da haste de aterramento, interligando as duas, na tentativa de que o ferro oxide ao invés do cobre;
3. Pintar a ponta de uma das hastes com tinta isolante líquida, sem isolar a caixa de inspeção;
4. Substituir a haste de cobre por haste de aço inoxidável.
Faz-se importante frisar que um metal de sacrifício se refere a um material metálico que é utilizado intencionalmente para corroer em vez de outro metal mais valioso ou estruturalmente importante em um sistema eletroquímico. Essa prática é comumente empregada para proteger o metal mais nobre da corrosão (SALOMÃO ET AL., 2019).
O conceito está relacionado à proteção catódica, uma técnica utilizada para evitar a corrosão de metais. No processo de proteção catódica, um metal de sacrifício, muitas vezes chamado de ânodo de sacrifício, é conectado ao metal que se deseja proteger. Esse ânodo é feito de um metal mais reativo e, portanto, propenso a corroer mais facilmente. Quando o sistema está exposto a ambientes corrosivos, o metal de sacrifício é corroído, enquanto o metal que se deseja proteger permanece relativamente intacto. O metal de sacrifício funciona como uma espécie de "escudo sacrificial", protegendo o metal mais nobre (SALOMÃO ET AL., 2019).
Já a tinta isolante líquida é um material utilizado para criar uma camada isolante em superfícies condutoras. Ela é aplicada como um líquido que, ao secar, forma uma camada isolante contínua. Esta tinta é frequentemente usada para isolar componentes elétricos, como enrolamentos de transformadores, conectores elétricos e outros dispositivos eletrônicos, para evitar curtos-circuitos e melhorar a confiabilidade do sistema (FERREIRA, 2023).
A utilização de tinta isolante líquida é frequentemente guiada por normas e práticas reconhecidas na indústria elétrica. Normas como a NBR 5410 (2021) no Brasil ou a norma internacional IEC 60085 fornecem diretrizes para o isolamento elétrico em diferentes aplicações.
Análise de dados
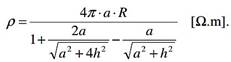
A medição de resistividade do solo foi realizada através do método de Wenner, visto este ser um método amplamente utilizado e que apresenta alta confiabilidade nos resultados obtidos. Contudo, utilizar-se-á o terrômetro digital no lugar do volímetro e uma fonte de corrente.
O método Wenner foi desenvolvido em 1915 pelo físico
norte-americano Frank Wenner. Esse
método propõe quatro hastes cilíndricas enterradas em linha sob o solo a uma mesma altura e espaçadas por uma mesma distância, objetivando, assim, obter a resistividade das diversas camadas que
compõem o solo (WENNER,
1915 apud NASCIMENTO, et al., 2004). Injeta-se uma corrente
elétrica na primeira haste, que
retorna pela quarta haste. Tal corrente elétrica passa pelo solo e produz
uma diferença de potencial entre a segunda e
a terceira haste, que será medida por um volímetro. Dessa forma, conhecendo-se o valor da corrente injetada
e o valor da diferença
entre a segunda
e a terceira haste é possível calcular
a resistência elétrica
do solo. Com
esse valor conhecido, calcula-se a resistividade elétrica do solo (eq. 1).
![]() |
Onde:
ρ é a resistividade elétrica do solo (em ohm-metros),
R é a resistência elétrica medida do solo (em ohms),
a é a área da seção transversal do solo (em metros quadrados),
h é a profundida equivalente,
Caso haja um afastamento relativamente grande entre as hastes (a > 20h), utiliza- se uma equação reduzida (eq. 2) que fornece a resistividade média do solo para uma profundidade semelhante ao espaço a (IEEE-81, 1983). Em determinadas regiões, para se obter a resistividade do solo é necessário efetuar várias medições sucessivas com espaçamentos a diferentes. Sendo assim, haverá diferentes valores de resistividade para cada valor de a utilizado, sendo recomendado, de acordo com as dimensões do terreno, a utilização de espaçamento de 1, 2, 4, 8, 16, 32, 64, 128 e assim sucessivamente (NBR 7117, 2022).
Dias (2011) frisa que, a partir dos valores da resistividade e os espaçamentos utilizados na medição, é possível traçar a curva da resistividade elétrica do solo em função dos espaçamentos entre as hastes. A partir da curva traçada, realiza-se a sua modelagem, estratificando-o em camadas horizontais, sendo que a estratificação pode ser realizada por várias metodologias que irão utilizar de conjuntos de curvas auxiliares para a determinação da estratificação do solo. Há também a possibilidade de utilizar softwares para realizar a estratificação do solo em camadas horizontais, utilizando-se dos valores de resistividade obtidos em campo, calculando e modelando o solo em camadas horizontais, com suas resistividades e espessuras. “Para o caso de altas resistividades, detectadas a partir dos dados medidos, é possível realizar o tratamento químico do solo visando à diminuição da resistividade e, consequentemente, a diminuição da resistência de aterramento” (DIAS, 2011, P. 10).
Ademais, no presente estudo, os dados foram coletados a partir das medições da malha de aterramento da indústria química que foram analisados com base em uma comparação da resistência de aterramento em função do tempo, comparando a velocidade da oxidação de duas áreas distintas de tal indústria, tendo uma haste de referência para cada tanque e uma haste de teste, objetivando, assim, visualizar o impacto das substâncias químicas na oxidação da malha de aterramento.
Através dos resultados obtidos, foram realizados os cálculos para análise da velocidade de oxidação das malhas de aterramento, comparando as diferenças de valores entre ambas as áreas da empresa. Dessa maneira, a partir da comparação entre os valores encontrados ao longo dos meses e da verificação da distinção entre elas, foi possível compreender a influência das substâncias químicas na velocidade de oxidação da malha de aterramento. Por fim, a fim de sistematizar a análise dos resultados, foram construídos gráficos de comparação das medições realizadas que estão apresentados nos resultados deste estudo.
O sistema de aterramento da empresa de produtos químicos é composto por 42 hastes, sendo que 12 hastes se encontram próximas dos tanques contendo produtos químicos. Foram realizadas doze visitas à indústria química para medição das hastes de aterramento próxima aos tanques (Figura 2) e das hastes de aterramento que não estão localizadas próximas aos tanques (Figura 3).
Figura 2 - Resistência de aterramento da empresa de produto químicos em área próxima aos tanques

Fonte: Próprio autor.
Tabela 1 - Resistência de aterramento da empresa de produto químicos em área próxima aos tanques
|
Haste A Químicos |
Haste B Químicos |
Haste C Químicos |
|
|
Data |
Resistência [Ω] |
Resistência [Ω] |
Resistência[Ω] |
|
16/06/2023 |
6,2 |
6,82 |
7,13 |
|
03/07/2023 |
6,02 |
6,69 |
7,05 |
|
19/07/2023 |
6,21 |
6,83 |
7,19 |
|
30/07/2023 |
6,21 |
6,83 |
7,21 |
|
13/08/2023 |
6,2 |
6,81 |
7,22 |
Fonte: Próprio autor.
Figura 3 - Resistência de aterramento da empresa de produto químicos em área afastada dos tanques

Fonte: Próprio autor.
Tabela 2 - Resistência de aterramento da empresa de produto químicos em área afastada dos tanques
|
Haste com caixa de inspeção - Região escritório |
|
|
Data |
Resistência[Ω] |
|
16/06/2023 |
5,88 |
|
03/07/2023 |
5,89 |
|
19/07/2023 |
5,9 |
|
30/07/2023 |
5,87 |
|
13/08/2023 |
5,86 |
|
27/08/2023 |
5,89 |
|
11/09/2023 |
5,7 |
|
24/09/2023 |
5,76 |
|
16/10/2023 |
5,8 |
|
28/10/2023 |
5,84 |
|
06/11/2023 |
5,81 |
|
20/11/2023 |
5,83 |
|
03/12/2023 |
5,88 |
|
20/12/2023 |
5,86 |
|
08/01/2024 |
5,87 |
Fonte: Próprio autor.
É possível perceber que no gráfico da Figura 2, referente a malha de aterramento próxima aos tanques de produtos químicos, há um pequeno aumento da resistência de aterramento da haste C. Nesse contexto, faz-se importante frisar que a haste C está localizada próximo ao local de fabricação dos ácidos sulfónico, fluorídrico e clorídrico na empresa, sendo que estes ácidos entram em contato com a haste durante a limpeza dos tanques em que são fabricados. Ademais, nessa região também conseguimos verificar que a descida do para-raios está oxidada devido ao vapor dos ácidos produzidos, que, ao entrar em contato com o cobre, reagem com este material (Figuras 4 e 5).
Figuras 4 e 5 – Descida oxidada do para-raios

Fonte: Próprio autor.
Já no gráfico da Figura 3 não é notado um aumento da resistência do aterramento elétrico, visto que nas hastes de aterramento distantes dos tanques não há contato direto das hastes com nenhuma substância química. Todavia, no dia 03 de julho de 2023 houve precipitação de água na região, sendo possível perceber em ambos os gráficos que a resistência do aterramento elétrico diminuiu na data citada. As figuras 6 e 7 expõem as condições climáticas da região em que está localizada a empresa.
Figura 6. Temperatura e precipitações médias da região no ano de 2023

Fonte:https://www.meteoblue.com/pt/tempo/historyclimate/climatemodelled/guapia%C3%A7u_brasil_3461954
Figura 7. Quantidade de precipitação da região no ano de 2023

Fonte:https://www.meteoblue.com/pt/tempo/historyclimate/climatemodelled/guapia%C3%A7u_brasil_3461954
Quando chove, a resistência de um aterramento elétrico pode diminuir devido ao aumento da condutividade do solo. Entretanto, essa diminuição na resistência não ocorre apenas por causa da chuva em si, mas devido à umidade que a chuva adiciona ao solo. A resistência de um aterramento elétrico depende da resistividade do solo, que é a medida da capacidade do solo de conduzir corrente elétrica (FREIRE, 2023). Solos úmidos têm uma resistência mais baixa do que solo secos, porque a água presente no solo permite que os íons se movam com mais facilidade, aumentando, assim, a condutividade elétrica.
Dessa maneira, os resultados coletados demonstram que as hastes de aterramento localizadas mais próximas aos tanques que contém produtos químicos tendem a sofrer maiores variações na resistência devido ao contato com substância químicas, o que pode acelerar o processo de oxidação. Já as hastes de aterramento que possuem maior distância dos tanques com produtos químicos parecem ter maior constância, não sofrendo grandes variações ao longo do tempo que possa impactar na variação do valor da resistência e na efetividade do sistema. Ou seja, parece ser imprescindível que a empresa de produtos químicos realize manutenções constantes em seu Sistema de Proteção contra Descargas Atmosféricas, visando garantir a segurança do seu sistema.
Dessa forma, levando em conta a oxidação acelerada e as maiores variações de resistência das hastes de aterramento localizadas próximas aos tanques contendo produtos químicos, e a necessidade constante de manutenções na malha de aterramento devido a essa interação, o presente estudo propôs o ensaio de diferentes métodos visando corrigir os fatores que levavam à oxidação.
O primeiro método proposto foi isolar a cabeça da haste e a tampa da caixa de inspeção com massa de vedação, de forma que nenhum líquido entrasse em contato com a haste naquela região. Neste caso foi analisado o tanque de contenção A, que possui quatro hastes de aterramento, tendo sido analisadas duas hastes: uma haste em que a caixa de inspeção foi vedada para não ter contato com nenhum líquido e outra haste em que não foi aplicada o método. A tabela abaixo (Tabela 3) elenca os valores encontrados nas medições.
Tabela 3 - Método 1: Isolamento da cabeça da haste e da tampa da caixa de inspeção
|
Haste sem método para evitar a oxidação (Série 1) |
Caixa vedada com concreto (Série 2) |
||
|
Haste A Químicos |
Haste A Químicos |
||
|
Data |
Resistência [Ω] |
Resistência [Ω] |
|
|
16/06/2023 |
6,2 |
6,17 |
|
|
03/07/2023 |
6,02 |
6,19 |
|
|
19/07/2023 |
6,21 |
6,19 |
|
|
30/07/2023 |
6,21 |
6,19 |
|
|
13/08/2023 |
6,2 |
6,21 |
Caixa vedada para experimento |
|
27/08/2023 |
6,27 |
6,37 |
Caixa vedada para experimento |
|
11/09/2023 |
6,27 |
6,37 |
Caixa vedada para experimento |
|
24/09/2023 |
6,29 |
6,37 |
Caixa vedada para experimento |
|
16/10/2023 |
6,32 |
6,37 |
Caixa vedada para experimento |
|
28/10/2023 |
7,82 |
6,37 |
Caixa vedada para experimento |
|
06/11/2023 |
8,59 |
6,37 |
Caixa vedada para experimento |
|
20/11/2023 |
8,59 |
6,37 |
Caixa vedada para experimento |
|
03/12/2023 |
8,65 |
6,37 |
Caixa vedada para experimento |
|
20/12/2023 |
8,72 |
6,37 |
|
|
08/01/2024 |
8,74 |
6,41 |
Fonte: Próprio autor.
Figura 12 - Método 1: Isolamento da cabeça da haste e da tampa da caixa de inspeção

Fonte: Próprio autor.
Faz-se importante ressaltar que com a haste que foi isolada e a tampa da caixa de inspeção vedada totalmente, não foi possível realizar medições constantes devido a vedação. Dessa forma, a haste da caixa vedada não foi medida no período entre o dia 13 de agosto e 02 de dezembro de 2023, sendo que a primeira medição foi realizada no dia 03 de dezembro. Destarte, o valor encontrado na primeira medição foi adotado para as datas anteriores em que a caixa se encontrava vedada, visando, assim, a construção da tabela de valores e do gráfico.
Ao analisar a Tabela 3 e as Figuras 12 e 13, referentes ao método 1 empregado no presente estudo, pode-se perceber que o valor da resistência se manteve constante, o que demonstra que o método 1 mostrou-se eficaz na correção dos fatores que levam a oxidação, visto que tal método evitava o contato de substâncias químicas com o cobre, evitando, assim, a oxidação do cobre (Figura 14). É possível perceber também, ao analisar a Figura 12, que a haste em que não foi aplicado o método teve um aumento considerável no valor da sua resistência devido à oxidação.
Figura 14 - Método 1: Haste sem método para evitar a oxidação

Fonte: Próprio autor.
Todavia, faz-se importante ressaltar a impossibilidade de vedação total da caixa de inspeção devido a necessidade de inspeção a cada dois anos dos Sistemas de Proteção contra Descargas Elétricas (SPDAs). Dessa forma, o método 1 atinge uma solução para o problema da oxidação acelerada das hastes em contato com as substâncias químicas, mas gera outro problema ao estar em desacordo com o que é proposto na NBR 5419 (2015).
A NBR 5419 (2015) não detalha procedimentos específicos de inspeção, mas fornece orientações sobre a necessidade de inspeções regulares e manutenção dos sistemas de proteção contra descargas atmosféricas (SPDA), sendo que a frequência das inspeções pode variar de acordo com fatores como o ambiente, a localização da estrutura e as condições climáticas. A inspeção é uma parte crucial da garantia de que o SPDA esteja em boas condições de funcionamento, proporcionando proteção eficaz. A norma enfatiza que inspeções devem ser realizadas periodicamente para verificar a integridade e eficácia do sistema; sendo que durante as inspeções devem haver uma verificação visual de todos os componentes do SPDA, se os captores estão em boas condições, avaliando também a conectividade elétrica de todos os componentes do sistema, as malhas de aterramento quanto à integridade e eficácia, verificando o estado e a operacionalidade dos dispositivos de proteção contra surtos (DPS), além de manter registros atualizados de todas as inspeções e manutenções realizadas no SPDA.
Dessa maneira, o método 1 demonstra que o ideal é que haja uma alteração da posição das caixas de inspeção de aterramento para um local fora da caixa de contenção, evitando, assim, o contato da substância química para com a haste, mas possibilitando, também, que as necessárias inspeções periódicas sejam realizadas.
O segundo método proposto para solucionar a oxidação acelerada da malha de aterramento foi utilizar o ferro como metal de sacrifício. Nesse método foi introduzido uma barra de ferro 3/8” ao lado da haste de aterramento, dentro da mesma caixa de inspeção, interligando a barra de ferro e a haste de cobre, na tentativa de que o ferro oxidasse ao invés do cobre (Tabela 4 e Figura 15). Tal método foi aplicado no tanque B, que também conta com quatro hastes de aterramento, tendo sido utilizado duas hastes para os testes.
Tabela 4 - Método 2: Utilização de um metal de sacrifício
|
Haste sem método para evitar a oxidação (Série 1) |
Haste utilizando metal de sacrifício (Série 2) |
||
|
Haste B Químicos |
Haste B Químicos |
||
|
Data |
Resistência[Ω] |
Resistência[Ω] |
|
|
16/06/2023 |
7,13 |
6,29 |
|
|
03/07/2023 |
7,05 |
6,27 |
|
|
19/07/2023 |
7,19 |
6,34 |
|
|
30/07/2023 |
7,21 |
6,35 |
|
|
13/08/2023 |
7,22 |
6,35 |
|
|
27/08/2023 |
7,27 |
4,82 |
Inserida barra de ferro interligada como metal de sacrifício |
|
11/09/2023 |
7,31 |
4,88 |
Inserida barra de ferro interligada como metal de sacrifício |
|
24/09/2023 |
7,92 |
5,11 |
Inserida barra de ferro interligada como metal de sacrifício |
|
16/10/2023 |
7,96 |
5,12 |
Inserida barra de ferro interligada como metal de sacrifício |
|
28/10/2023 |
7,95 |
5,15 |
Inserida barra de ferro interligada como metal de sacrifício |
|
06/11/2023 |
7,97 |
5,21 |
Inserida barra de ferro interligada como metal de sacrifício |
|
20/11/2023 |
8,06 |
5,17 |
Inserida barra de ferro interligada como metal de sacrifício |
|
03/12/2023 |
8,09 |
5,19 |
Inserida barra de ferro interligada como metal de sacrifício |
|
20/12/2023 |
8,13 |
5,2 |
Inserida barra de ferro interligada como metal de sacrifício |
|
08/01/2024 |
8,15 |
5,24 |
Inserida barra de ferro interligada como metal de sacrifício |
Fonte: Próprio autor.
Figura 15 - Método 2: Utilização de um metal de sacrifício

Fonte: Próprio autor.
Um metal de sacrifício é um material que é utilizado para proteger outro metal contra a corrosão. Nesse processo, o metal de sacrifício é mais propenso a corroer-se do que o metal que está sendo protegido (SALOMÃO ET AL., 2019). No método proposto uma barra de ferro foi utilizada como metal de sacrifício visando proteger a haste de cobre. Neste método foi possível realizar a medição constante – a cada quinze dias – nas duas hastes que compuseram o experimento.
O ferro pode ser utilizado como metal de sacrifício em algumas aplicações específicas, embora não seja tão comum quanto outros metais, como o zinco. A ideia é a mesma: o ferro é mais propenso à corrosão do que o metal que está sendo protegido, agindo assim como um ânodo sacrificial para proteger o metal mais valioso. É importante notar que a escolha do metal de sacrifício, incluindo o ferro, depende das condições específicas do ambiente e das características do metal a ser protegido. A eficácia desse método também pode ser influenciada por fatores como a resistividade do solo, a umidade e outros elementos presentes no ambiente (UHLIG; REVIE, 2008).
Quando inserimos o metal de sacrifício – uma barra de ferro com as mesmas dimensões da haste de aterramento – foi possível verificar, a partir dos valores demonstrados na Figura 15, que a resistência de aterramento diminuiu drasticamente, visto que havia duas hastes interligadas, tendo, assim, dois condutores eliminando carga para a terra para equalizar. Contudo, posteriormente o sistema não sofreu alterações, sendo possível perceber visualmente (Figuras 17, 18 e 19) e através das medições (Tabela 4 e Figuras 15 e 16) que a resistência das duas hastes começaram a sofrer uma oxidação considerável, levando ao aumento do valor da resistência.
Figura 17 - Método 2: Haste sem método para evitar a oxidação

Fonte: Próprio autor.
Figuras 18 e 19 - Método 2: Haste utilizando metal de sacrifício

Fonte: Próprio autor.
Ademais, ao analisar a Figura 15, percebe-se a partir da abertura angular do gráfico, que o ângulo da oxidação de cada haste no tanque B de contenção e que a taxa de oxidação de ambas as hastes é aproximadamente a mesma, demonstrando que o método não obteve grandes diferenças. Logo, pôde-se concluir que o método 2 não se mostrou eficiente para evitar a oxidação acelerada das hastes de aterramento.
O terceiro método foi realizado no tanque C, em que foi pintada a ponta de uma das hastes com tinta isolante líquida e utilizado massa plástica (Figura 20), sem isolar a caixa de inspeção. No método 3, assim como no método 1, não foi possível realizar a medição quinzenal da haste isolada devido ao fato do isolamento, impedindo, assim, o uso do terrômetro para aferir a resistência. A tinta e a massa plástica foram retiradas dia 03 de dezembro de 2023, tendo sido realizada a medição utilizando o terrômetro nesta data; o valor encontrado foi utilizado nas medições anteriores visando, assim, a construção da tabela (Tabela 5) e dos gráficos (Figuras 21 e 22).
Figura 20. Haste pintada com tinta isolante líquida e utilizando massa plástica

Fonte: Próprio autor.
Tabela 5 - Método 3: Haste isolada com tinta isolante e massa plástica
|
|
Haste sem método para evitar a oxidação (Série 1) |
Haste pintada com tinta isolante e massa plástica (Série 2) |
|
|
Haste C Químicos |
Haste C Químicos |
|
|
|
Data |
Resistência [Ω] |
Resistência [Ω] |
|
|
16/06/2023 |
6,82 |
6,16 |
|
|
03/07/2023 |
6,69 |
6,09 |
|
|
19/07/2023 |
6,83 |
6,15 |
|
|
30/07/2023 |
6,83 |
6,17 |
|
|
13/08/2023 |
6,81 |
6,26 |
Caixa isolada para experimento |
|
27/08/2023 |
6,7 |
6,85 |
Caixa isolada para experimento |
|
11/09/2023 |
6,83 |
6,85 |
Caixa isolada para experimento |
|
24/09/2023 |
6,87 |
6,85 |
Caixa isolada para experimento |
|
16/10/2023 |
6,94 |
6,85 |
Caixa isolada para experimento |
|
28/10/2023 |
6,99 |
6,85 |
Caixa isolada para experimento |
|
06/11/2023 |
7,05 |
6,85 |
Caixa isolada para experimento |
|
20/11/2023 |
6,99 |
6,85 |
Caixa isolada para experimento |
|
03/12/2023 |
7,18 |
6,85 |
Caixa isolada para experimento |
|
20/12/2023 |
7,25 |
6,85 |
|
|
08/01/2024 |
7,31 |
6,91 |
|
Fonte: Próprio autor.
Figura 21 - Método 3: Haste isolada com tinta isolante e massa plástica

Fonte: Próprio autor.
Ao analisar as Figuras 21 e 22 verifica-se que o sistema sofreu oxidação considerável, provavelmente devido ao fato do líquido escorrer para dentro da caixa de inspeção e penetrar o solo em contato com a haste, oxidando, assim, a parte abaixo da terra, que não continha tinta isolante – visto a necessidade de funcionamento da haste. A haste em que foi realizada o teste obteve uma resistência menor, mas uma variação maior do que a haste sem utilização do método. Dessa forma, o método 3 também não se mostrou eficaz para corrigir os fatores que levam à oxidação.
Por fim, o quarto método tratou de substituir a haste de cobre por haste de aço inoxidável (Figuras 23, 24, 25 e 26; Tabela 6).
Figura 23 - Método 4: Haste sem método para evitar a oxidação

Fonte: Próprio autor.
Figura 24 - Método 4: Haste de aço inoxidável

Fonte: Próprio autor.
Tabela 6 - Método 4: Substituição por haste de aço inoxidável
|
Haste sem método para evitar a oxidação (Série 1) |
Haste de aço inoxidável (Série 2) |
|
|
Haste D Químicos |
Haste D Químicos |
|
|
Data |
Resistência [Ω] |
Resistência[Ω] |
|
24/09/2023 |
||
|
16/10/2023 |
6,94 |
6,16 |
|
28/10/2023 |
6,99 |
6,19 |
|
06/11/2023 |
7,05 |
6,14 |
|
20/11/2023 |
6,99 |
6,15 |
|
03/12/2023 |
7,18 |
6,2 |
|
20/12/2023 |
7,25 |
6,15 |
|
08/01/2024 |
7,31 |
6,18 |
Fonte: Próprio autor.
Figura 25 - Método 4: Substituição por haste de aço inoxidável

Fonte: Próprio autor.
Faz-se importante realçar, como é possível observar na Tabela 6 e nas Figuras 25 e 26, que foram realizadas oito medições da proposição do método 4 – do dia 16 de Outubro de 2023 a 08 de Janeiro de 2024 –, visto que tal método foi acrescentado como uma possível solução para a oxidação acelerada da malha de aterramento em contato com produtos químicos a partir da proposição da Banca de Qualificação do presente estudo.
Dessa maneira, ao analisar a Tabela 6 e as Figuras 25 e 26, referentes ao método 4, observa-se que houve pouca oxidação na haste de aço inoxidável e que a resistência manteve-se constante ao compararmos a haste de aço com a haste de cobre presente no tanque. Ademais, observa-se que não foi alterada a condutividade elétrica do aterramento, garantindo, assim, sua eficácia. Logo, a utilização da haste de aço inoxidável para confecção da malha de aterramento em contato com substâncias químicas mostrou-se também um método viável para solucionar o problema da oxidação.
A utilização de hastes de aço inoxidável em Sistemas de Proteção contra Descargas Atmosféricas (SPDA) é uma prática comum em várias aplicações. As hastes de aço inoxidável oferecem diversas vantagens que as tornam atraentes para certos contextos de instalação em comparação com outros materiais: sua ótima resistência à corrosão em ambientes agressivos, sua durabilidade e resistência às condições ambientais adversas ao longo do tempo e sua boa condutividade elétrica (apesar de ser menor do que o cobre). Todavia, o aço inoxidável é um material de custo relativamente mais alto em comparação com algumas alternativas, apesar de sua durabilidade e resistência à corrosão poderem contribuir para custos menores de manutenção a longo prazo (LEITE; LEITE; 2001).
Dessa forma, ao compararmos e analisarmos os quatro métodos propostos no presente estudo durante o período de tempo analisado (Tabela 7 e Figura 27), pode-se notar que a variação percentual da resistência no método 4, que realizou a substituição da haste de cobre por haste de aço inoxidável, sofreu mínima alteração. Já a variação da resistência no método 1, que tratou de isolar a cabeça da haste e a tampa da caixa de inspeção com massa de vedação, variou em, no máximo, 13%. A variação percentual da resistência no método 2, quer utilizou o ferro como metal de sacrifício, foi cerca de 18% e o método 3, que isolou a cabeça da haste com tinta isolante e massa plástica, variou 50%.
Tabela 7 - Métodos propostos para corrigir fatores que levam à oxidação
|
Método 1 |
Método 2 |
Método 3 |
Método 4 |
|
|
Haste A Químicos |
Haste B Químicos |
Haste C Químicos |
Haste de aço inoxidável |
|
|
Data |
Resistência [Ω] |
Resistência[Ω] |
Resistência [Ω] |
Resistência [Ω] |
|
16/06/2023 |
0 |
0,960784314 |
0,085536585 |
|
|
03/07/2023 |
0,083333333 |
0,947712418 |
0,083256855 |
|
|
19/07/2023 |
0,083333333 |
0,993464052 |
0,07317732 |
|
|
30/07/2023 |
0,083333333 |
1 |
0,097560976 |
|
|
13/08/2023 |
0,166666667 |
1 |
0,207317073 |
|
|
27/08/2023 |
0,083333333 |
0 |
0,926829268 |
|
|
11/09/2023 |
0,083333333 |
0,039215686 |
0,926829268 |
|
|
24/09/2023 |
0,083333333 |
0,189542484 |
0,926829268 |
|
|
16/10/2023 |
0,083333333 |
0,196078431 |
0,926829268 |
0,333333333 |
|
28/10/2023 |
0,083333333 |
0,215686275 |
0,926829268 |
0,833333333 |
|
06/11/2023 |
0,083333333 |
0,254901961 |
0,926829268 |
0 |
|
20/11/2023 |
0,083333333 |
0,22875817 |
0,926829268 |
0,166666667 |
|
03/12/2023 |
0,083333333 |
0,241830065 |
0,926829268 |
1 |
|
20/12/2023 |
0,083333333 |
0,248366013 |
0,926829268 |
0,166666667 |
|
08/01/2024 |
1 |
0,274509804 |
1 |
0,666666667 |
Fonte: Próprio autor.
A tabela 7 foi criada a partir de valores normalizados, ou seja, os valores apresentados na tabela são valores comparados as hastes sem método presentes em cada tanque, tais valores deram origem também ao gráfico da Figura 27.
Figura 27 - Variação da resistência em percentagem dos métodos propostos para corrigir os fatores que levam à oxidação

Fonte: Próprio autor.
Tais dados demonstram que o método 4 obteve o melhor resultado, com a menor variação da resistência, ou seja, menor oxidação. Contudo, faz-se relevante destacar que o método 4 foi analisado por um período menor em relação aos outros três métodos propostos, o que impossibilita que se possa afirmar categoricamente que ele seria o método mais adequado para minimização da oxidação em ambientes industriais agressivos, visto que seria necessário que esse método pudesse ser analisado por um período maior.
Dessa maneira, apesar do método 4 ter se mostrado promissor, é necessário um estudo de tempo por um período maior. Nesse contexto, faz-se fundamental comparar os outros três métodos propostos, que foram analisados por um período maior.
Dentre as três proposições, o método 1, que isolou a cabeça da haste e a tampa da caixa de inspeção com massa de vedação, foi o método que obteve a menor variação da resistência, mostrando-se, assim, o método mais adequado para minimizar a oxidação em ambientes industriais agressivos.
Os resultados do presente estudo apontam para as suas contribuições às investigações científicas acerca da oxidação da malha de aterramento devido à reação com substâncias químicas em ambientes industriais. Os dados coletados a partir do uso de terrômetro, alicate terrômetro e registros fotográficos apontam maiores variações em relação a área onde se encontram os tanques de produtos químicos da empresa na resistividade de sua malha de aterramento. Ao compararmos os resultados da área próxima aos tanques de produtos químicos com a área distante dos produtos químicos torna-se perceptível que o gráfico de resultados das medições da área próxima aos tanques sofreu maiores variações enquanto o gráfico da área distantes dos tanques tendeu a manter-se mais constante ao longo do tempo.
Dessa forma, foi possível notar que as substâncias químicas produzidas pela empresa alteram consideravelmente a resistência da malha de aterramento na região próxima aos tanques, acelerando sua oxidação e podendo gerar impactos sobre a segurança do Sistema de Proteção contra Descargas Atmosféricas de tal indústria. Tal constatação destaca a necessidade de manutenções e reparações constantes à malha de aterramento desta empresa, o que pode gerar custos elevados ao cliente. Esses dados apontam para a necessidade de ampliação da compreensão acerca dos impactos das substâncias químicas à malha de aterramento e a busca de possíveis soluções que possam amenizar o impacto da reação entre o cobre – material muito utilizado nas malhas de aterramento – e as substâncias químicas.
Foi possível, ainda, observar que a resistência de aterramento varia de acordo com a resistência de solo, sendo que muitos fatores influenciam no valor da resistência de um aterramento, sendo a umidade do solo um dos principais itens que levam a essa variação. No presente estudo pôde-se verificar que no dia em que houve precipitação de água os valores medidos em relação a resistência do aterramento sofreram variação em ambas as áreas, tendo sido encontrado um menor valor de resistência.
Tendo em vista, então, a reação do cobre ao entrar em contato com as substâncias químicas, que aceleravam sua oxidação e levavam o Sistema de Proteção contra Descargas Atmosféricas a ter uma menor durabilidade e à necessidade de manutenções mais constantes, buscou-se propor um método para minimizar a oxidação a partir da experimentação de quatro diferentes proposições.
Os métodos propostos que obtiveram os melhores resultados para corrigir os fatores que levam à oxidação foram os métodos 1 e 4 (Figura 27). O método 4, que realizou a substituição da haste de cobre por haste de aço inoxidável, demonstrou resultados promissores nas medições realizadas para corrigir os fatores que levam à oxidação, visto que obteve a menor variação, permanecendo, assim, praticamente constante (dentro da escala utilizada não é percetível a variação, todavia, se houvesse uma escala menor, seria possível observar uma variação de quase 8%) – apesar de ter sido realizado o teste por um tempo menor se comparado aos outros métodos. Todavia faz-se importante ressaltar que o uso de hastes de aço inoxidável para compor um Sistema de Proteção contra Descargas Atmosféricas apresenta um custo mais elevado para o cliente, sendo que pode haver clientes que não estejam dispostos a despender maiores recursos financeiros para confecção do SPDA; nesse contexto, é importante que o profissional possa ressaltar os benefícios a longo prazo da utilização do aço inoxidável como material.
O método 1 – isolação da cabeça da haste e da tampa da caixa de inspeção com massa de vedação, impedindo, assim, que qualquer líquido entre em contato com a haste naquela região – demonstrou também um excelente resultado em relação a redução da oxidação da haste. Entretanto, como ressaltado, é impossível vedar a caixa de inspeção visto que isto impediria a manutenção periódica do SPDA. Dessa maneira, é necessário, então, que haja alteração da posição das caixas de inspeção.
Os métodos 2 e 3 apresentados neste estudo não se mostraram propostas tão eficazes para corrigir os fatores que levam à oxidação. No método 2, no início das medições houve uma diminuição significativa da resistência de aterramento, entretanto, posteriormente, os valores encontrados nas medições se igualaram, ou seja, o sistema não sofreu alterações e as duas hastes – a de cobre e a haste de cobre interligada ao ferro – sofreram oxidação. Ou seja, a utilização do metal de sacrifício não foi capaz de conter a oxidação acelerada do cobre em contato com produtos químicos. No método 3, em que a haste foi isolada com tinta isolante e massa plástica, devido a impossibilidade de isolar a haste da parte abaixo da terra, presume-se que o líquido possa ter penetrado o solo e entrado em contato com o cobre, levando, assim, a oxidação do sistema; dessa forma, a proposição do método 3 não foi capaz de evitar o contato com os líquidos químicos e, consequentemente, minimizar a oxidação acelerada.
Logo, tento em vista a constatação da oxidação acelerada da malha de aterramento devido ao contato com substâncias químicas e os métodos propostos para a correção desses fatores, pôde-se concluir que, dentre os métodos avaliados por maior tempo, o método 1 mostrou-se o mais eficaz – impedindo qualquer contato da haste com a substância química – e econômico financeiramente, visto que não despenderia de altos custos para o cliente. Contudo, como já citado, para que essa proposta seja viável e siga as normas da NBR 5419 (2015), é necessário realizar modificações na localização da caixa. Dessa forma, tal solução apresenta-se viável, sem despender de grandes recursos financeiros ou dificuldades de execução. O método 4 também se mostrou muito eficaz, sendo necessário, contudo, que estudos futuros possam analisá-lo por um período maior.
Dessa forma, o presente estudo destacou a importância da execução correta dos Sistemas de Proteção contra Descargas Atmosféricas e das manutenções constantes, frisando também que em ambientes onde há contato do SPDA com substâncias químicas, tal relação pode interferir na eficácia do Sistema e gerar maiores custos ao proprietário visto a necessidade constante de manutenções devido a oxidação acelerada. Visando, então, manter a seguranças do SPDA, o presente estudo também propôs alguns métodos na busca por minimizar os fatores que levavam a oxidação acelerada, mantendo a segurança do Sistema e evitando custos elevados ao proprietário.
Nesse sentido, salienta-se também a necessidade de novos estudos sobre Sistemas de Proteção conta Descargas Atmosféricas em ambientes agressivos, buscando maiores compreensões de como diferentes interações nesses ambientes podem impactar na eficácia da malha de aterramento, além de buscar também diversas soluções as diferentes interações que podem ocorrer.
ASSOCIAÇÃO BRASILEIRA DE NORMAS TÉCNICAS. NBR5410: instalações elétricas de baixa tensão. Rio de Janeiro, 2004. 209 p.
ASSOCIAÇÃO BRASILEIRA DE NORMAS TÉCNICAS. NBR5419: proteção de estruturas contra descargas atmosféricas. Rio de Janeiro, 2022. 48 p.
ASSOCIAÇÃO BRASILEIRA DE NORMAS TÉCNICAS. NBR7117: medição da resistividade e determinação da estratificação do solo. Rio de Janeiro, 2012. 64 p.
ASSOCIAÇÃO BRASILEIRA DE NORMAS TÉCNICAS. NBR14039: Instalações elétricas de média tensão de 1,0 kV a 36,2kV. Rio de Janeiro, 2004. 65 p.
DIAS, André Dantas. Malhas de aterramento em subestações energizadas: medições e análises, 2011. 132 p. Dissertação (Pós-graduação em Engenharia Elétrica) – Engenharia Elétrica – Universidade Federal de Campina Grande, Campina Grande, 2011.
FERREIRA, Barbara Romão. Avaliação de corrosão sob tinta de isolamento térmico por termografia assistida por simulação computacional, 2023. 139 p. Dissertação (Programa de Pós-graduação em Engenharia Metalúrgica e de Materiais) – Universidade Federal do Rio de Janeiro, Rio de Janeiro, 2023.
FREIRE, Paulo Edmundo. A modelagem geoelétrica para projetos de sistemas de aterramento. Eletricidade Moderna, n. 570, 2023.
GENNARI, Rodrigo. Malha de aterramento de subestações. 2017. 63p. Trabalho de Conclusão de Curso (Engenharia Elétrica) - Faculdade de Engenharia do Campus de Guaratinguetá, Guaratinguetá, 2017.
MINISTÉRIO DO TRABALHO. NR10: Segurança em instalações e serviços de eletricidade. 2004, 18 p.
MINIPA. Alicate terrômetro ET-4310. Disponível em: https://www.minipa.com.br/ferramentas-eletricas/alicate-terometro/68-et-4310. Acesso em 01 ago. 2023.
NASCIMENTO, C. T. C.; PIRES, A. C. B.; MORAES, R. A. V. Reconhecimento de Solos por Meio de Resistividade Elétrica e Radiação Gama. Revista Brasileira de Geociências, v. 34, n. 3, p. 383-392, 2004.
RANDO, Ricardo. Aterramento em atmosferas explosivas: práticas recomendadas. São Paulo: Blucher, 2021.
SALOMÃO, Pedro Emílio Amador et al. Estudo de proteção contra corrosão em armaduras de aço da construção civil. Research, Society and Development, v. 8, n. 1, p. 1-16, 2019.
SANTOS, Natã Braga Kelly et al. Aterramento elétrico: uma revisão bibliográfica. Revista Ibero-Americana de Humanidades, Ciências e Educação-REASE, São Paulo, v. 9, n. 5, p. 1-17, maio 2023.
SILVA, Bárbara Duarte et al. Desenvolvimento de Software para elaboração de projetos de aterramento elétrico. Projeto de Iniciação Científica desenvolvido na Universidade FUMEC, Belo Horizonte.
VISACRO FILHO, Silvério. Aterramentos Elétricos: conceitos básicos, técnicas de medição e instrumentação, filosofias de aterramento. São Paulo: Artliber, 2002. 159 p.